In the field of biomedicine, CAR-T therapy is undergoing a revolutionary leap from in vitro preparation to in vivo programming. The year 2025 marks a crucial turning point in the development of in vivo CAR-T. In June, Capstan announced that its in vivo CAR-T therapy CPTX2309 based on the tLNP vector has officially entered Phase I clinical trials. Subsequently, AbbVie acquired Capstan for $2.1 billion in all-cash, obtaining its proprietary tLNP platform technology. This transaction attests to the high recognition of the in vivo CAR-T track by major pharmaceutical companies and marks the official transition of this technology from proof-of-concept to a new stage of clinical development.

in vivo CAR-T and tLNP: The Next Trend in Precision Medicine
Industry background: A revolutionary leap from in vitro to in vivo
Traditional in vitro CAR-T therapy has achieved remarkable milestones in B-cell leukemia and lymphoma, but its complex manufacturing process, high cost and toxicity have become the bottlenecks for the large-scale popularization of this technology. According to industry research, the price of a commercial CAR-T product can be as high as 370,000 to 470,000 US dollars, and it takes 3 to 5 weeks from cell collection to reinfusion. Some patients cannot wait due to the rapid progression of their condition.
In vivo CAR-T therapy, with a revolutionary technological approach, directly delivers CAR genes into the body through special vectors, bypassing the cumbersome in vitro steps and completing the "equipment upgrade" of T cells directly within the patient's body. This "in-body factory" model not only significantly simplifies the treatment process but also is expected to reduce the cost to one-tenth of that of traditional CAR-T, becoming a breakthrough point for the next generation of cellular immunotherapy.
tLNP: The core delivery system for in vivo CAR-T
In the implementation path of in vivo CAR-T therapy, targeted lipid nanoparticles (tLNP) have become the mainstream technical route in the industry. tLNP endows traditional LNP with the ability to precisely recognize and deliver gene cargo to T cells by modifying its surface with specific targeting ligands (such as antibodies and peptides).
The core technology lies in precisely coupling the targeted antibody to the LNP surface to form a "navigation missile" -like delivery system. When tLNP enters the body, the targeted ligand on the surface guides the entire nanoparticle to specifically bind to T cells, and delivers CAR-mRNA into the cells through endocytosis, achieving in situ reprogramming of T cells.
DSPE-PEG-MAL: The Key "Chemical Bridge" for Building tLNP
Driving targeted Delivery: Triple Empowerment of tLNP Functionalization
In the complex system of constructing tLNP, DSPE-PEG-MAL plays a dynamic "executor" role. Its structural design precisely corresponds to its key functions in the preparation process, and its role can be decomposed into the following three progressive and coherent steps.
· Embedding and anchoring: Precise positioning from solution to membrane phase
During the self-assembly process of LNP, DSPE-PEG-MAL can spontaneously "anchor" itself on the forming lipid bilayer membrane by virtue of the physicochemical properties of its DSPE hydrophobic tail. This process ensures that the entire molecule becomes part of the LNP structure in a preset orientation and stable manner, laying the foundation for subsequent functions.
· Stretching and Protection: Establish spatial defense lines on the interface
Once anchored, the hydrophilic PEG2000 chains fully extend into the aqueous environment around the LNP, forming a flexible, hydrated "brush-like" protective layer. This protective layer serves as the "first line of defense" for LNP, maintaining its physicochemical stability and functional integrity in the complex in vivo environment by inhibiting non-specific protein adsorption and reducing particle aggregation, thereby extending the circulating half-life in the body.
· Click and Empowerment: The Chemical Transformation from General Carriers to Precision Missiles
The maleimide (-MAL) group located at the end of the PEG chain is the chemical switch that endows LNP with "intelligence". As a highly selective biocoupling site, it can react efficiently with the thiol groups of antibodies that have been engineered (for example, introduced by reducing disulfide bonds or using reagents such as SATA). It is precisely through this irreversible covalent connection step that ordinary LNPS are "empowered" and evolve into targeted TLNPS capable of precisely recognizing specific cell surface antigens.

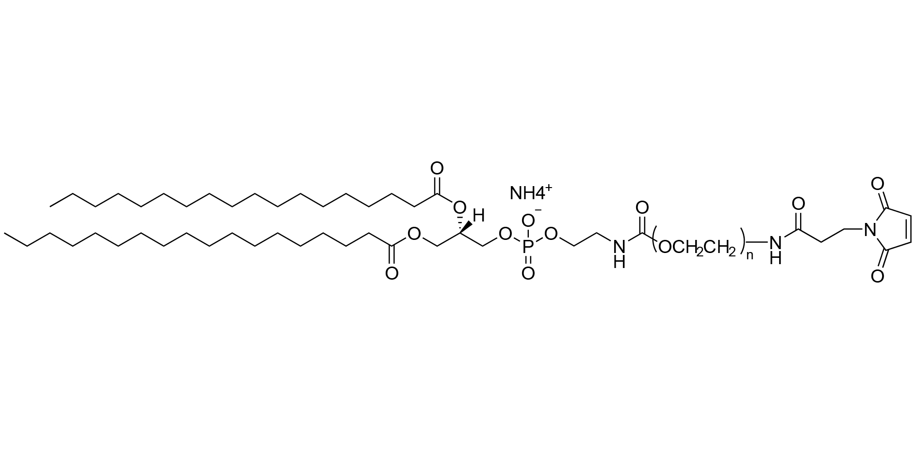
Figure 1: Schematic diagram of the molecular structure of DSPE-PEG-MAL (ammonium salt)
The technical approach for achieving antibody conjugation on the surface of LNP
The use of DSPE-PEG-MAL to achieve antibody conjugation on the surface of LNP is currently the most mature and widely applied strategy for constructing tLNP. This process usually involves three core links:
LNP preparation: DSPE-PEG-MAL is mixed with other lipid components (ionizable lipids, auxiliary lipids, cholesterol, PEG lipids) through microfluidic mixing technology to prepare LNP. At this time, the maleimide (-MAL) group of DSPE-PEG-MAL is exposed on the surface of LNP.
2. Antibody pretreatment: In accordance with the common methods for constructing targeted LNPS in the industry (such as described by Capstan Therapeutics in patent WO2024249954), the antibodies are modified with thiol (-SH) to prepare for the subsequent coupling reaction.
3. Coupling reaction: The thiol (-SH) -conjugated antibody is incubated with LNP in an appropriate buffer (such as PBS, pH 7.4) at low temperature (such as 4°C) (usually for several hours to overnight). The thiol groups on the antibody covalently bind to the maleimide (-MAL) groups on the surface of the LNP, completing the targeted functionalization modification.
Compared with viral vectors such as lentivirus and adeno-associated virus, the LNP delivery system based on DSPE-PEG-MAL has advantages such as low immunogenicity, no risk of insertion mutation, and easy large-scale production, making it an ideal vector for CAR-T in vivo.
The core advantages of SINOPEG's GMP-grade DSPE-PEG-MAL
Gmp-level production and immediate supply
in the current R&D wave of in vivo CAR-T, high-quality and stably supplied key excipients are the cornerstone to ensure the smooth progress of R&D. Xiamen SINOPEGe has established a complete GMP quality management system, successfully achieved GMP-level large-scale production of DSPE-PEG-MAL, and built up sufficient spot inventory.
The dual filing for CDE and DMF is about to be completed
To better assist customers in drug registration applications, our DSPE-PEG-MAL product is being actively promoted:
· China CDE Excipient Registration and Filing: After completion, it can be directly associated for drug registration applications
· FDA DMF filing in the United States: Provides an authoritative basis for proving the quality and compliance of excipients to the FDA
SINOPEG has established a complete quality control system from the source of raw materials, synthesis processes to purification control. We are well aware that for cutting-edge therapies like in vivo CAR-T, any minor difference in excipients may have a huge impact on the physicochemical properties, in vivo behavior and even therapeutic effect of the final formulation. We not only strictly control the purity, the activity of the maleimide (-MAL) group and the integrity of the PEG chain, but also, based on our profound understanding of the industrial production of PEG and active derivatives over the years and our experience in applying for multiple IND projects, have developed a series of specific characterization tests. The differentiated advantages formed by these in-depth physicochemical property characterizations It can provide more comprehensive data support for your project application. After the dual filing is completed, customers can directly use our filing number, significantly simplifying the IND (New Drug Clinical Trial Application) or NDA (New Drug Marketing Application) filing process, saving time and labor costs, and significantly improving the success rate of project applications.
Expansion of DSPE-PEG series products
In addition to DSPE-PEG-MAL, our company can also provide customized development services for a variety of functionalized phospholipid-PEG derivatives to meet different R&D needs
Reference:
1. Capstan Therapeutics. Capstan Therapeutics Announces Initiation of Phase 1 Trial of Lead In Vivo CAR-T Therapy, CPTX2309, for Treating Autoimmune Disease. Business Wire. 2025 June 11.
2. AbbVie. AbbVie to Acquire Capstan Therapeutics, Further Strengthening Commitment to Transforming Patient Care in Immunology. AbbVie News Center. 2025 June 30.
3. American Society of Clinical Oncology. CAR-T Cell Therapy: Costs and Considerations. ASCO Annual Meeting Proceedings. 2024.
4. Smith J, et al. In vivo CAR-T cells demonstrate potent anti-tumor activity with reduced manufacturing complexity. Nature Biotechnology. 2023;41(5):678-685.
5. Wang D, et al. Targeted lipid nanoparticles for in vivo T cell engineering. Science Advances. 2024;10(12):eadl2165.
6. Chen X, et al. Antibody-conjugated LNP for precise in vivo gene delivery to T cells. Cell Reports Medicine. 2024;5(3):101489.
7. Zhang Y, et al. Molecular structure and membrane anchoring properties of DSPE-PEG lipids. Biochimica et Biophysica Acta. 2023;1865(4):184321.
8. Gabizon A, et al. Prolonged circulation time and enhanced accumulation in malignant exudates of doxorubicin encapsulated in polyethylene-glycol coated liposomes. Cancer Research. 1994;54:987-992.
9. Hermanson GT. Bioconjugate Techniques. 3rd ed. Academic Press; 2021.
10. Wei X, et al. Microfluidic synthesis of targeted lipid nanoparticles for T cell engineering. Lab on a Chip. 2024;24(8):2156-2168.
11. Kato T, et al. Efficient antibody conjugation using Traut's reagent for LNP functionalization. Bioconjugate Chemistry. 2023;34(7):1256-1265.
12. Li M, et al. Covalent conjugation of antibodies to LNP surface for targeted delivery. Journal of Controlled Release. 2024;368:456-467.
13. Xu Q, et al. Non-viral delivery systems for in vivo CAR-T cell engineering. Nature Reviews Materials. 2024;9(3):189-205.










